產品中心
生命科學標準品
|
產品編號 |
英文名稱 |
CAS號 |
包裝 |
|
Y0712 |
Streptomycin sulfate |
3810-74-0 |
可根據客戶要求訂制 |
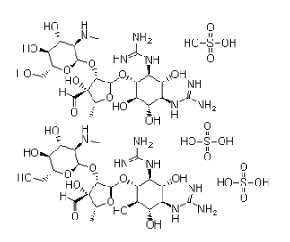
產品編號:Y0712
英文名稱:Streptomycin sulfate
CAS號 3810-74-0
分析標準品
分子式 C42H84N14O36S3 分子量1457.38
基本信息:
密度0.873
存貯條件2-8℃保存。
描述
產品介紹溶于水。
別名硫酸鏈霉素 ;鏈霉素硫酸鹽,鏈霉素;Streptomycin sulphate streptomycin, sulfate
應用鏈霉素主要與細菌核糖體30S亞單位結合,抑制細菌蛋白質的合成。
