產品中心
相關產品
中藥標準品
|
產品編號 |
英文名稱 |
CAS號 |
包裝 |
|
Y3731 |
Stachydrine hydrochloride |
4136-37-2 |
可根據客戶要求訂制 |
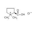
英文名稱:Stachydrine hydrochloride
CAS號:4136-37-2
分析標準品
分子式 C7H13NO2?HCl 分子量179.64

基本信息:
敏感性 對空氣和濕度敏感
旋光率 -27 ° (C=2, H2O)
熔點 235°C
溶解性 Soluble in cold water (Very ), hot water (Very), and 13 parts alcohol.
存貯條件 儲存溫度-20°C,充氬保存
描述
別名 ;2-Carboxy-1,1-dimethylpyrrolidinium chloride; Stachydrine HCl
應用 A potentially useful alkaloid for activity screening and an anticancer agent in vitro.
