產品中心
相關產品
中藥標準品
|
產品編號 |
英文名稱 |
CAS號 |
包裝 |
|
Y3898 |
Triptolide |
|
可根據客戶要求訂制 |
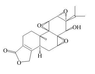
英文名稱:Triptolide
CAS號:38748-32-2
分析標準品,≥98%
分子式 C20H24O6 分子量360.40

基本信息:
密度1.48
存貯條件 儲存溫度2-8°C
描述
產品介紹 雷公藤甲素是一個具有多種生物活性的二萜內酯,可溶于二甲基亞砜.來源于中藥雷公藤的根
別名 雷公藤甲素 ;雷公藤內酯醇,雷公藤多甙;PG 490
生化機理
Triptolide inhibits cytokine-induced gene expression via inhibition of NF-κB transcriptional activity. Triptolide induces apoptosis in tumor cells by blocking TNF-α mediated c-IAP2 and c-IAP1 (members of the inhibitor of apoptosis family) induction. Immunosuppressive with anti-inflammatory and antitumor activity.
應用 雷公藤甲素是一種二萜triepoxide,中藥雷公藤(雷公藤)復合物中提取的主要的活性成分。它是一種強力免疫抑制劑及抗發炎劑。雷公藤甲素在活化T細胞中已被證明能夠抑制IL - 2因子的表達。在動物模型中它協同加強與環孢素A在促進異基因骨髓移植存活率,和對植物抗宿主病的抑制。此外,誘導腫瘤細胞凋亡,通過抑制c - IAP2和架C - IAP1感應部分地并增強腫瘤壞死因子(TNFα)誘導細胞凋亡。
存貯條件 儲存溫度2-8°C
描述
產品介紹 雷公藤甲素是一個具有多種生物活性的二萜內酯,可溶于二甲基亞砜.來源于中藥雷公藤的根
別名 雷公藤甲素 ;雷公藤內酯醇,雷公藤多甙;PG 490
生化機理
Triptolide inhibits cytokine-induced gene expression via inhibition of NF-κB transcriptional activity. Triptolide induces apoptosis in tumor cells by blocking TNF-α mediated c-IAP2 and c-IAP1 (members of the inhibitor of apoptosis family) induction. Immunosuppressive with anti-inflammatory and antitumor activity.
應用 雷公藤甲素是一種二萜triepoxide,中藥雷公藤(雷公藤)復合物中提取的主要的活性成分。它是一種強力免疫抑制劑及抗發炎劑。雷公藤甲素在活化T細胞中已被證明能夠抑制IL - 2因子的表達。在動物模型中它協同加強與環孢素A在促進異基因骨髓移植存活率,和對植物抗宿主病的抑制。此外,誘導腫瘤細胞凋亡,通過抑制c - IAP2和架C - IAP1感應部分地并增強腫瘤壞死因子(TNFα)誘導細胞凋亡。
