產品中心
相關產品
中藥標準品
|
產品編號 |
英文名稱 |
CAS號 |
包裝 |
|
Y3609 |
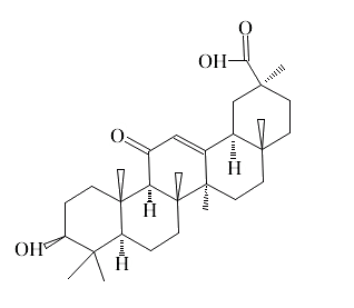
18alpha-Glycyrrhetinic acid |
1449-05-4 |
可根據客戶要求訂制 |
英文名稱:18alpha-Glycyrrhetinic acid
CAS號:1449-05-4
分析標準品
分子式 C30H46O4 分子量470.69

基本信息:
密度 1.14
描述
別名 18α-甘草次酸;18alpha-Glycyrrhetinic acid; 3β-Hydroxy-11-oxo-18α; 20β-olean-12-en-29-oic acid
