產品中心
相關產品
中藥標準品
|
產品編號 |
英文名稱 |
CAS號 |
包裝 |
|
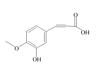
Y3646 |
Isoferulic Acid |
537-73-5 |
可根據客戶要求訂制 |
英文名稱:Isoferulic Acid
CAS號:537-73-5
分析標準品,≥98%
分子式 C10H10O4 分子量194.18

基本信息:
密度 1.316
熔點 230°C
描述
產品介紹 植物來源 升麻根莖
別名 3-羥基-4-甲氧基肉桂酸;3-羥基-4-甲氧基苯乙烯酸;3-羥-4-甲氧桂皮酸;Hesperetic Acid; 3-Hydroxy-4-methoxycinnamic Acid
